在复杂的踝关节骨折中,后踝骨折切开复位内固定对于恢复下胫腓联合的稳定性至关重要;然而,通过应力测试中腓骨特定的向后移位,可以检测到残留的下胫腓联合不稳定。在这些情况下,下胫腓前韧带的解剖学增强在生物力学上等同于使用下胫腓联合螺钉。涉及后踝的复杂踝关节骨折与不良的功能预后相关。这些不良预后的一个原因是下胫腓后韧带可能附着在后踝骨折块上,这可能导致下胫腓联合不稳定。由于下胫腓联合不稳定超过 2-3mm 与创伤后关节炎相关,目前的文献建议复位这些骨折块以稳定下胫腓联合。
在临床上,与间接从前向后螺钉固定或未治疗的后踝骨折块相比,后踝切开复位内固定减少了下胫腓联合螺钉的使用;然而,关于最佳方法以及是否需要额外下胫腓联合稳定的临床证据仍然缺乏。常见的治疗选择包括三皮质下胫腓联合螺钉固定或使用动态缝线纽扣系统。然而,这两种辅助手术在后踝切开复位内固定后,都无法提供足够的额外下胫腓联合稳定性。最近,使用缝线带对下胫腓前韧带(AITFL)进行解剖学增强显示出有前景的临床效果。初步的生物力学研究表明,与使用下胫腓联合螺钉或缝线纽扣系统相比,下胫腓前韧带增强能提供相似或更好的下胫腓联合稳定性。
国外学者通过模拟完整和下胫腓前韧带及骨间韧带(IOL)断裂的生物力学模型,评估后踝骨折切开复位内固定后的下胫腓联合稳定性。本公众号整理该文献后供骨科医生学习交流。
图1为光学测量系统。图1-a为安装了标本的机械臂。图1-b为标本在机器人上使用蓝光评估其内部运动学。
该研究方案步骤主要分为7步。确定了特定的切割顺序(步骤 1-3)和重建顺序(步骤 4-7)。在后踝固定后,额外下胫腓联合稳定的顺序是随机的。流程图如下:
图2展示了切割顺序(步骤1至3)和重建顺序(步骤4至7)的流程图。在后踝(PM)固定后,额外下胫腓联合稳定的顺序是随机的。
对标本施加 200N 的持续轴向压缩,以模拟部分负重,并在从背屈 10° 到跖屈 30° 的生理运动范围内移动。在背屈 10°、中立位以及跖屈 15° 和 30° 时,量化踝关节对外加 5Nm 外旋扭矩的反应,测量所有 3 个平面的运动。
截骨和造模
制作标准化的后外侧后踝骨折块截骨,以模拟 Bartoniček/Rammelt 2 型骨折。在胫后肌腱沟的外侧边缘插入两根平行的 2.0mm 克氏针,朝向腓骨的前关节面。使用摆动锯平行于克氏针截断后踝。之后,在距踝关节线近端 5cm 处切断下胫腓前韧带和骨间韧带,以模拟常见的伴有下胫腓后韧带骨撕脱以及下胫腓前韧带和骨间韧带经韧带损伤的三韧带下胫腓联合损伤。
后踝骨折块的固定
在后踝截骨之前,将一块 3 孔三分之一管形钢板应用于胫骨远端后侧,并钻出 2.5mm 的钻孔。截骨后,复位后踝骨折块。通过将 3 枚 3.5mm 的螺钉拧入预钻孔来实现复位。
三皮质下胫腓联合螺钉额外稳定
在后踝截骨之前,在踝关节上方 2cm 处并平行于关节线预钻下胫腓联合螺钉孔。后踝固定后,复位下胫腓联合,并置入一枚 3.5mm 的三皮质螺钉。
下胫腓前韧带增强额外稳定
使用 InternalBrace对下胫腓前韧带进行解剖学增强。将一枚带 FiberTape的 4.75mm SwiveLock 锚钉置入胫骨远端前外侧。将 FiberTape 从前向后穿过腓骨上的 2.7mm 钻孔,并施加 60N 的张力。然后置入一枚 3.5mm SwiveLock 锚钉。

图3 尸体标本模型。在下胫腓前韧带(AITFL)区域喷上黑色图案,以增强对光学测量效果。图3-a为两根平行于后踝截骨处的克氏针。图3-b为后踝截骨平面的轴向示意图。图3-c为测试结束后解剖足部后的胫骨远端关节面,显示后踝截骨以及切断的下胫腓前韧带(白色箭头)和骨间韧带(红色箭头)。图3-d为后踝切开复位内固定(ORIF)。图3-e为置入下胫腓螺钉。图3-f为下胫腓前韧带增强术。
后踝骨折块截骨及下胫腓前韧带和骨间韧带切断
后踝骨折块截骨除了在跖屈 30° 时导致腓骨外旋增加,并未增加腓骨的矢状面或冠状面移位或旋转。下胫腓前韧带和骨间韧带切断显著增加了腓骨远端在所有平面和位置的不稳定。这种不稳定导致在中立位时,腓骨的后移在完整状态下为 2.0±0.5mm,后踝截骨后为 2.8±1.1mm,下胫腓前韧带和骨间韧带切断后为 8.9±3.4mm。
后踝骨折块固定及下胫腓联合增强
在中立位时,与后踝截骨并切断骨间韧带和下胫腓前韧带相比,后踝固定显著降低了腓骨在所有 3 个平面的不稳定。后踝切开复位内固定恢复了腓骨的运动学,与完整状态相比无显著差异。
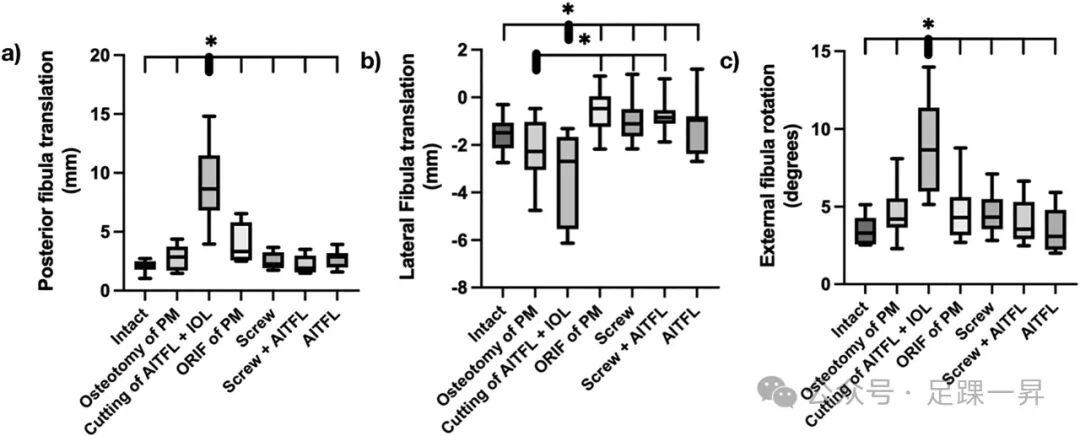
在背屈 10° 时,与后踝截骨并切断骨间韧带和下胫腓前韧带相比,后踝固定显著减少了后移和外旋,但与完整状态相比,在矢状面和轴向平面仍存在残留不稳定。只有额外的下胫腓联合稳定才能恢复所有平面的腓骨运动。不同固定方法之间,后移、内移或外旋均无显著差异。
图5 在踝关节背屈10°时,对腓骨远端施加5Nm的外旋应力测试,观察其运动学变化,包括顺序切割(图中柱形1至3)和顺序重建(图中柱形4至7)后的情况。图5-a为矢状面位移,图5-b为冠状面位移,图5-c为轴向旋转。
在跖屈 15° 时,后踝切开复位内固定不能恢复腓骨在矢状面和冠状面的稳定性。在矢状面,与后踝截骨并切断骨间韧带和下胫腓前韧带相比,只有添加下胫腓联合螺钉才能稳定腓骨。因此,与完整的下胫腓联合相比,后踝切开复位内固定导致腓骨背侧移位 1.9±1.5mm,下胫腓前韧带增强导致背侧移位 1.3±1.5mm,下胫腓联合螺钉导致背侧移位 0.3±0.9mm,这些差异均无统计学意义。在轴向平面,只有使用下胫腓前韧带增强与完整状态相比,能显著降低旋转不稳定性。因此,后踝切开复位内固定导致外旋增加 1.1±1.7,下胫腓联合螺钉导致外旋增加 0.9±1.3,下胫腓前韧带增强导致外旋增加 0.4±1.5,这些增加均无统计学意义。只有下胫腓联合螺钉和下胫腓前韧带增强联合使用才能在所有平面稳定下胫腓联合。
图6 踝关节跖屈15°时,在5牛·米外旋应力测试下,腓骨远端的运动学表现,包括顺序切割(图中1-3条柱形)和顺序重建(图中4-7条柱形)后的情况。图6-a为矢状面移位;图6-b为冠状面移位;图6-c为轴向旋转。
在跖屈 30° 时,后踝固定减少了旋转和冠状面的不稳定,但不能减少矢状面的移位。使用下胫腓联合螺钉以及下胫腓前韧带增强和下胫腓联合螺钉联合使用,能在所有平面稳定下胫腓联合,而单独使用 InternalBrace 与后踝固定相比,没有提供任何额外的稳定性。
在本研究中建立的下胫腓前韧带和骨间韧带断裂模型中,后踝切开复位内固定仅能在踝关节中立位将腓骨运动恢复至完整状态。背屈和跖屈时的残留不稳定,只能通过额外使用下胫腓联合螺钉或下胫腓前韧带增强来稳定。建议在进行后踝切开复位内固定后,评估是否存在残留下胫腓联合不稳定。在这些情况下,下胫腓前韧带增强在生物力学上等同于下胫腓联合螺钉。









